Comments

You must log in or register to comment.

urgjotonlkec t1_j4771d6 wrote

Two comments:

  1. Why are high taxes in the "good" column.
  2. You need to adjust several of these for COL. It doesn't matter if you make more money living in a location if you're also forced to spend it all.
2

terrykrohe OP t1_j47ooqs wrote

... "state taxes" pay for local government, infrastructure (local roads and maintenance, snow removal), address community issues (parks, recreation, libraries), etc.
... communities which are desirable to live in have citizens who are willing to bear the burden and take part in their local well-being

COL
making COL adjustments opens a door to a million "yeah, but ... " exceptions and "what about"s which never-end; essentially detracting and distracting from the message:
e.g. NY and NJ have larger tax burden (and, thereby, have larger COLs) ... people fixate on the COL and neglect the much lower suicide rates of NY and NJ (and the lower opioid use, and lower infant mortality and lower incarceration)

... where does murky COL balance murky QOL? (too hard a question to answer; so people continue yammering about COL using the price of gas and eggs)

0

urgjotonlkec t1_j47tntd wrote

Oh shit, I forgot you're that guy that posts here every week trashing the parts of the country you don't like. No wonder you have no desire to actually adjust for anything. It's not that you're too lazy, it's that you're too biased.

3

yblad t1_j4axa5z wrote

Yeah. I too have fallen into the trap of trying to give scientifically valid constructive feedback. I'm not sure if it's laziness, bias, or a general unwillingness to learn. Either way, I treat everything from this OP with extreme skepticism at this point.

2

terrykrohe OP t1_j4fevit wrote

You are right to be "skeptical":
as I noted in the reply comment below, the data IS biased.

I do not understand how 150 million voters separated the fifty states into two grossly disparate groupings? – such that one group is more obese, produces less goods and services, is more suicidal, etc?

Systemic bias – genetic or environmental?

1

terrykrohe OP t1_j49smki wrote

"biased"?

obesity, 28Apr2021
GDP, 06May21
state+local ed spending, posted 20May21
suicide rate, 21May21
state taxes, 21Jun21
opioids, 01Jul21
life epectancy, 29jul21
infant mortality, 05Aug21
incarceration rate, 19Aug21
murder rate, 08Jul21
gun ownership, 15jul21
heart disease mortality (not posted)
accidental deaths, 21Oct21
fed spending (money rec'd vs taxes differential), 09Sep 21
median income, 14Oct21
violent crimes, 22Dc22

... ALL biased

missing persons, 28Oct21
NOT biased

I had nothing to do with the data but present it

0

terrykrohe OP t1_j44wkbu wrote

sources:

GDP
https://apps.bea.gov/regional/downloadzip.cfm
state taxes
https://wallethub.com/edu/states-with-highest-lowest-tax-burden/20494
suicide rate
https://www.cdc.gov/nchs/pressroom/sosmap/suicide-mortality/suicide.htm
opioid dispensing rate
https://www.cdc.gov/drugoverdose/maps/rxstate2019.html
life expectancy https://www.cdc.gov/nchs/pressroom/sosmap/life_expectancy/life_expectancy.htm
infant mortality https://www.cdc.gov/nchs/pressroom/sosmap/infant_mortality_rates/infant_mortality.htm
incarceration rate
https://www.sentencingproject.org/the-facts/#map
state+local ed spending https://www.usgovernmentspending.com/compare_state_spending_2019b20a#copypaste

evangelical
https://www.pewforum.org/religious-landscape-study/religious-tradition/evangelical-protestant/

diversity*
– diversity* = Catholic% + Jewish% + Muslim% + Asian%
– Catholic, Jewish, Muslim populations: https://www.pewforum.org/religious-landscape-study/compare/religious-tradition/by/state/
– Asian population: https://en.wikipedia.org/wiki/Demographics_of_Asian_Americans

rural-urban
– population density https://www.states101.com/populations
– agriculture income https://data.ers.usda.gov/reports.aspx?ID=17839#P9dd070795569412d9525def18d45bde2_4_185iT0R0x0

method for "rural-urban" metric
– population density and agriculture income data values were converted to "standard scores", aka "z-scores": z-score = (data value – mean)/SD (see Wikipedia, "Standard score")
– the z-scores were added and divided by 2; result = the rural/urban metric z-score
– note1: 'urban' means "increasing population density"; 'rural' means "increasing agriculture income as % of state GDP"
for the 'rural' metric to denote a "rural to urban" value, the z-scores for agriculture income were 'reversed' by multiplying by "–1"before adding to the population density z-scores
– note2: for the 'rural-urban' metric ... a negative z-score indicates a "rural" value; a positive z-score indicates an "urban" value

tool: Mathematica

***************

i) all of the metric values have been converted to z-scores; this allows dimension-less comparison and averaging
ii) the red/blue background indicates the state's Rep/Dem Electoral Vote in 2020
iii) in the calculation of the average, "negative metric" values were multiplied by "–1"

1

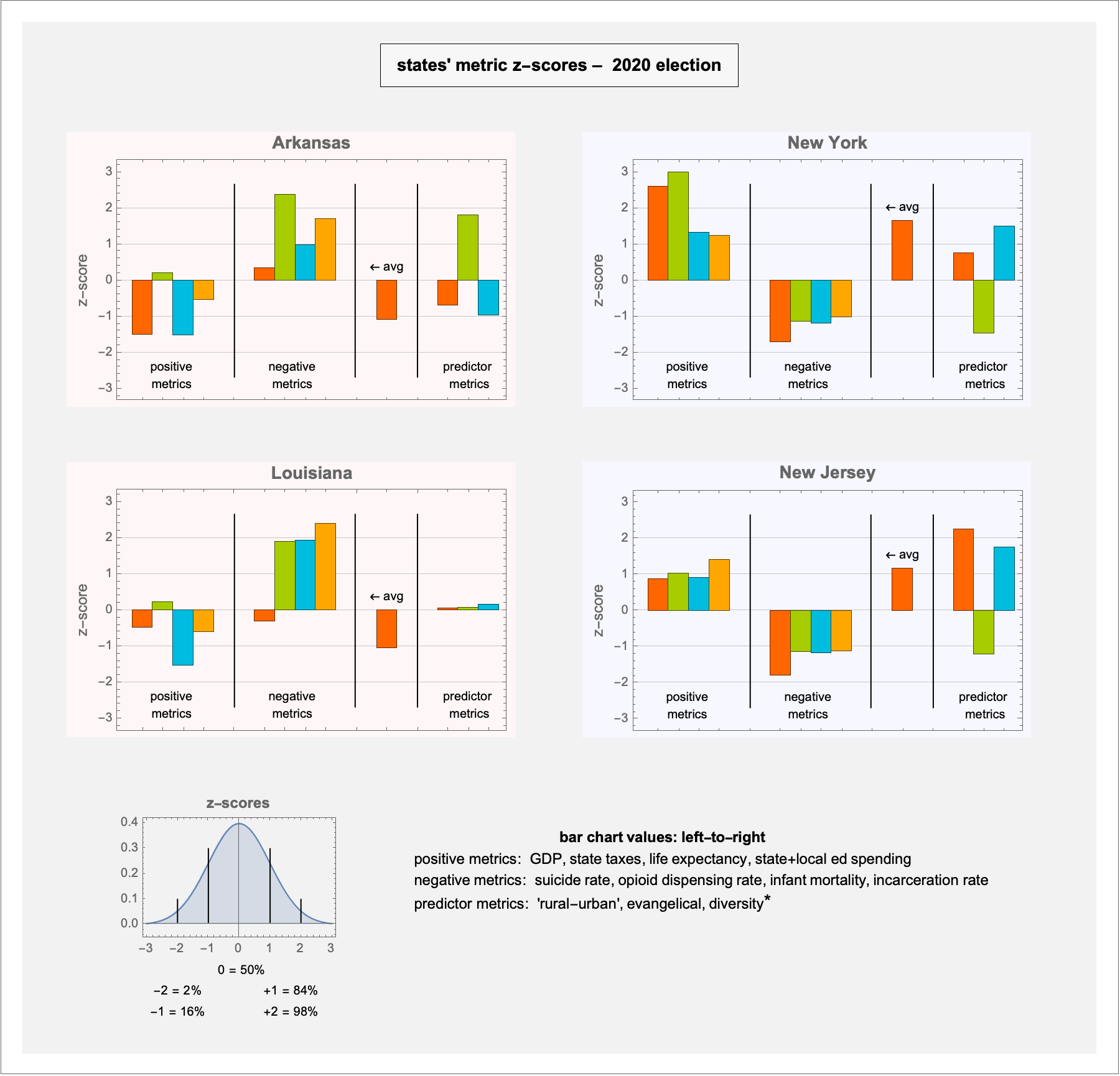
terrykrohe OP t1_j44xmww wrote

comments w/r AR, LA, NY, NJ metrics

Purpose
– the "forest": Previous posts (summary post, 14Apr2022) did not identify the individual states. The overall non-random, top/bottom, Rep/Dem differentiation was the point. Curiously, this differentiation persisted within the Rep/Dem state groupings – for example, as Rep states' R:D vote ratio increased, their infant mortality increased and their suicide rates increased (see posts 07Apr, 21Apr)

.– the "trees": This post presents four individual states and their metrics for comparison.
– z-scores are used so that dimensionless comparison can be done
– note: a negative z-score of a negative metric is considered positive

Comparing and Contrasting the four states ...
i) two Dem states and two Rep states: ranking the states, NY and NJ are at the top end and AR and LA are in the bottom end
ii) the z-scores show why: NY and NJ have large (+) values for positive metrics and large (–) values for negative metrics
iii) compare with AR and LA: both AR and LA have large (–) values for (+) metrics; and large (+) values for negative metrics
iv) LA is curious ... being middle-of-the-road for Predictor metrics
v) the AR large (+) evangelical value stands out compared with the NY and NJ large (–) values for the evangelical Predictor metric
vi) NJ is very urban (the most urban state)
vii) the NY and NJ diversity* values are large – no. 3 and no. 2 (HI is no. 1)
viii) contrasting the Rep and Dem states: the suicide, opioid dispensing rate, and incarceration rate differences are remark-able

similar visuals of other states' metric z-scores:
TX, AZ, FL, GA posted 02Jun2022
ND, SD, WA, OR posted 09Jun
AL, MS, CT, RI posted 14Jul
IL, IN, OH, PA posted 08Sep
NH, MA, NE, IA posted 15Sep
KS, MO, ID, MT posted 13Oct
UT, OK, CO, NM posted 10Nov
NC, SC, DE, MD posted 08Dec

1